Tutorial Week 10

Chain Rule

Q1: Let \(z = e^{xy} + 3x^2y^2\), \(x = ln(t + 1) - st\), \(y = cos(t + s)\). Find \(\frac{\partial z}{\partial s}\) using the chain rule.

../../_images/11.jpeg

Q2: Suppose \(f\) depends on \(x\), \(y\), and \(z\); \(x\) depends on \(r\) and \(s\), \(y\) depends on \(r\), \(s\), and \(t\); \(z\) depends on \(r\) and \(t\). Draw a tree diagram for the f and use the chain rule to find \(\frac{\partial f}{\partial r}\) and \(\frac{\partial f}{\partial t}\).

../../_images/21.jpeg

Tangent Planes

Q3: Given \(z =x^{2}y-x+\ln\left(y+x\right)\), find the equation of the plane tangent to the surface at \((0, 3, ln(3))\).

../../_images/31.jpeg

Critical Points

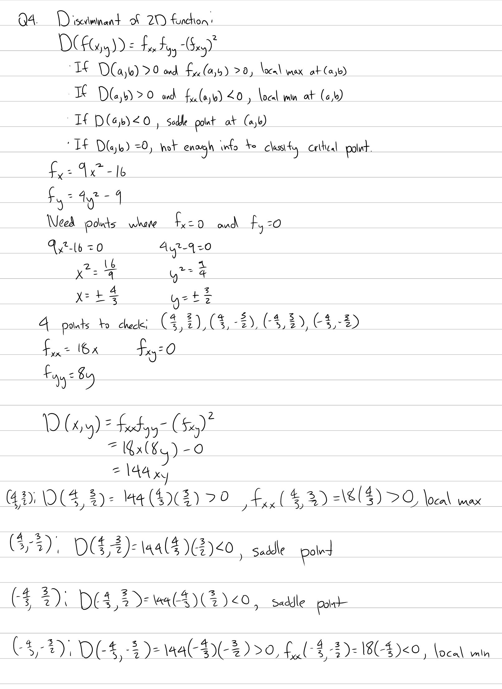
Q4: Find and classify the critical points of the function \(f(x, y) = 3x^3 + \frac{4}{3}y^3 - 16x - 9y\).

../../_images/41.jpeg

\(\;\)