Tutorial Week 9

This tutorial covers L’Hopital’s rule, linearization, and Mean Value Theorem.

L’Hopital’s Rule

Q1: Compute \(\lim_{x \to 0} \frac{x + sin(x)}{x^2 + cos(x)tan(x)}\).

../../_images/18.jpg

Q2: Compute \(\lim_{x \to 0^+} xln(x)\).

../../_images/27.jpg

Q3: Compute \(\lim_{x \to 0^{+}} \frac{ln(x)}{log_3(2x)}\).

../../_images/36.jpg

Q4: Compute \(\lim_{x \to 1} (\frac{x}{x-1} - \frac{1}{ln(x)})\).

../../_images/47.jpg

L’Hopital’s Rule with Logs

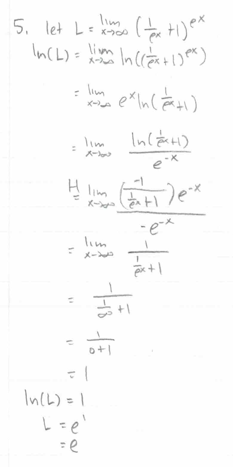
Q5: Compute \(\lim_{x \to \infty} \left(\frac{1}{e^{x}}+1\right)^{e^{x}}\).

../../_images/57.jpg

Mean Value Theorem

Q6: Given \(f(1) = 10\), \(f'(x) \geq 3\) for \(x \in [1, 5]\), what would be the highest lower bound for \(f(5)\)?

../../_images/66.jpg

Q7: If \(3 \leq f'(x) \leq 6\) for all \(x\), show that \(18 \leq f(7) − f(1) \leq 36\).

../../_images/76.jpg

Q8: Show that \(4x+2 = \cos\left(x\right)\) has exactly one solution.

../../_images/86.jpg

Linearization

Q9: Find the linearization of \(f(x)=3\sqrt{x} + 4\) at \(x=16\).

../../_images/96.jpg

Q10: Find the linear approximation of \(f(x) = tan(x)\) at \(x=\pi\).

../../_images/106.jpg

Q11: Find the linear approximation of \(f(x) = 3e^{x}\) at \(x=0\). Use it to approximate \(3e^{0.2}\).

../../_images/116.jpg